Доходность ЕНПФ в 1,5 раза обогнала инфляцию

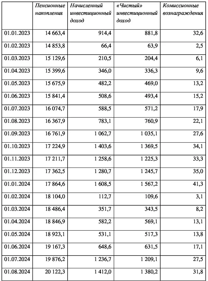
Доходность ЕНПФ за последние 12 месяцев, распределенная на счета вкладчиков, составила 12,73% при годовой инфляции в июле 8,60%. А с начала 2024 года доходность пенсионных активов достигла 7,51% при накопленной инфляции за январь – июль в 4,7%, сообщает Zakon.kz.

Источником этого позитива стал продолжающийся рост начисленного инвестиционного дохода по пенсионным активам ЕНПФ , прибавивший за второй месяц лета 14,2%, до 1 трлн 412 млрд тенге, а в абсолютном выражении – 175,3 млрд тенге, отмечает экономист Тулеген Аскаров.

Для сравнения: в 2023 году по состоянию на 1 августа значение этого показателя составляло 783,1 млрд тенге.

"Таким образом, в годовом выражении начисленный инвестиционный доход вырос в 1,8 раза, в абсолютном выражении – на 628,9 млрд тенге". Тулеген Аскаров

"Чистый" инвестиционный доход, рассчитываемый за вычетом из начисленного дохода выплаченных комиссионных вознаграждений, также увеличился за год в 1,8 раза, до 1 трлн 380,2 млрд тенге, в том числе за июль – на 14,2%. Схожими темпами росли и комиссионные, удерживаемые в пользу ЕНПФ и Нацбанка, инвестиционного управляющего пенсионными активами, – за второй месяц лета их размер вырос на 15,4%, до 31,8 млрд тенге. Общий же объём пенсионных накоплений рос гораздо медленнее – в июле он прибавил 1,2%, до 20 трлн 122,3 млрд тенге, а за год – 22,9%.

таблицы доходы, фото — Новости Zakon.kz от 26.08.2024 15:56

По ключевому источнику пополнения накопительной пенсионной "копилки" – доходам в виде вознаграждения, полученного по ценным бумагам, в том числе по размещенным вкладам, от операций обратного репо и от рыночной переоценки ценных бумаг, – к началу августа поступило 904,2 млрд тенге с приростом за июль на 16,6%.

Второе место занимают доходы, полученные по активам, находящимся во внешнем управлении, – 421 млрд тенге. Ещё 167,7 млрд тенге поступило в виде курсовой разницы от переоценки иностранной валюты, поскольку в июле продолжилось ослабление тенге к доллару.

Убытки же в объёме минус 85,8 млрд тенге сложились от рыночной переоценки ценных бумаг в инвестиционном портфеле пенсионных активов ЕНПФ.

В структуре инвестиционного портфеля в разрезе валют по-прежнему наиболее быстрыми темпами растёт его долларовая часть – с начала текущего года она увеличилась на 32,8%, до 7 трлн 488,7 млрд тенге в эквиваленте.

Доля этой части в портфеле поднялась с 31,7% до 37,3% к 1 августа. Такая выраженная динамика, естественно, не может не влиять на Нацбанк, выступающий крупным игроком на внутреннем валютном рынке, где формируется обменный курс тенге к доллару.

таблицы доходы, фото — Новости Zakon.kz от 26.08.2024 15:56

Тенговая часть инвестиционного портфеля пенсионных активов ЕНПФ увеличилась с начала года всего лишь на 3,5%, до 12 трлн 588,1 млрд тенге, из-за чего её доля уменьшилась с 68,3 до 62,7%.

"Объем инструментов, номинированных в других валютах, упал на 82,7%, до "мизерных" 0,8 млрд тенге, а их доля сократилась практически до нуля". Тулеген Аскаров

В тенговой части инвестиционного портфеля пенсионных активов ЕНПФ доминируют государственные ценные бумаги Минфина РК, то есть долг правительства, – в них по состоянию на 1 августа 2024 года было вложено 8 трлн 842,9 млрд тенге, или 44% от общего объёма.

В индексном управлении находилось пенсионных активов на сумму в 6 трлн 288,7 млрд тенге, или 31,3% от всего портфеля. Далее следовали облигации отечественных квазигосударственных организаций (1 трлн 943,7 млрд тенге; 9,7%) и банков второго уровня (901,8 млрд тенге; 4,5%), ГЦБ иностранных государств (885,2 млрд тенге; 4,4%). По последним инструментам сложился наибольший рост инвестиций за счёт пенсионных накоплений – почти в 40 раз! А наибольший спад произошел по вложениям в депозиты Нацбанка – в 41,7 раз, до 21,0 млрд тенге, отмечает эксперт.

Ранее мы сообщали, что в Казахстане изменились правила использования выплат из ЕНПФ для улучшения жилищных условий.